日前,中國水產科學研究院黃海水產研究所蝦類遺傳資源與育種團隊在基因組選擇(Genomic Selection,GS)規模化應用研究方面取得重要進展,相關成果連續發表在中國科學院TOP期刊Aquaculture和Genetics Selection Evolution上。
凡納濱對蝦是全球產量最大的養殖蝦類,我國是其最大養殖國。為解決當前蝦類育種中家系內遺傳變異利用效率低、GS應用成本高等瓶頸問題,研究團隊繼構建開放核群育種體系(ONBS)后,進一步建立了適用于商業化家系育種的GS應用框架。針對基因型與環境互作、難測性狀精準選擇及種質遺傳多樣性維持等關鍵問題,系統提出了應對策略。
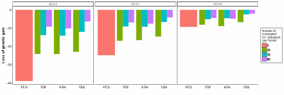
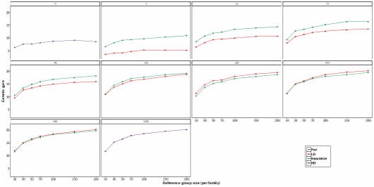
研究表明,育種群體中普遍存在的基因型×環境互作(G×E)顯著影響遺傳進展,傳統系譜選擇策略面臨遺傳進展損失風險(9.4~38.9%)(圖1)。針對不同G×E強度,研究團隊構建了GS選擇策略,顯著降低了損失范圍至2.1~6.4%。在抗病等難測性狀上,相較于系譜選擇,規模化GS策略可將遺傳進展提升至113.3%(圖2)。此外,研究團隊評估了不同育種策略在不同選擇準確性下的轉換效率(圖3),首次發現GS雖提升了選擇效率,但降低了家系內遺傳多樣性的遺傳進展轉化效率。為此,研究團隊提出了兼顧遺傳進展與轉換效率的優化策略:采用基于低密度SNP面板(23 SNP/Chr)并結合基因型填充的GS選擇方案。相關研究結果為我國蝦類規模化GS育種應用提供了理論基礎與可操作路徑,并為相關技術的標準化制定提供了科學依據。
黃海所2021級碩士研究生康子儀為論文的第一作者,黃海所欒生研究員為論文的通訊作者。該研究得到了國家重點研發計劃、國家蝦蟹產業技術體系、中國水產科學研究院科技創新團隊等項目的資助。

圖1 不同GxE下GS和系譜育種方案的遺傳進展損失

圖2 不同SNP密度和參考群規模下基因型填充對遺傳進展的影響

圖3 不同選擇準確性下基因組配種策略對轉換效率的影響
原文鏈接:
Kang, Z., Kong, J., Sui, J., et al., 2024. Optimal open nucleus breeding system for long-term genetic gain in the Pacific white shrimp using genomic selection. Aquaculture 586, 740760. https://doi.org/10.1016/j.aquaculture.2024.740760
Kang, Z., Kong, J., Li, Q., et al., 2025. Genomic selection strategies to overcome genotype by environment interactions in biosecurity-based aquaculture breeding programs. Genet. Sel. Evol. 57, 2. https://doi.org/10.1186/s12711-025-00949-3
Kang, Z., Kong, J., Li, Q., et al., 2025. Genomic selection for hard-to-measure traits in aquaculture: Challenges in balancing genetic gain and diversity. Aquaculture, 742576. https://doi.org/10.1016/j.aquaculture.2025.742576