目前,我國魚類養殖產業中存在病害頻發、抗病高產良種匱乏等問題,迫切需要建立高效準確的抗病基因組育種技術,培育抗病高產優良品種。近幾年來,針對基因組選育中缺乏抗病育種基因芯片的現狀,中國水產科學研究院黃海水產研究所陳松林研究員團隊研制出我國首款魚類抗病育種基因芯片—“魚芯1號”,并基于其基因分型結果和牙鲆抗病基因組選擇技術開展了抗細菌病良種選育。相關研究成果于近日在中國科技期刊卓越行動計劃——領軍期刊類入選期刊《Engineering》上在線發表。
研究團隊在前期完成牙鲆全基因組測序、精細圖譜繪制以及對1099個牙鲆個體全基因組重測序的基礎上,自主設計位點篩選策略,整合了抗病相關基因和相關SNP位點,最終選取在全基因組均勻分布的約50000(50K)個SNP位點制作基因芯片,保證了基因組育種值估計的準確性;評估并驗證了“魚芯1號”芯片的基因分型效果,并應用于牙鲆抗細菌病基因組選擇育種。牙鲆50K “魚芯1號”芯片的研發,填補了我國魚類抗病育種基因芯片的空白,為基因組選擇技術在牙鲆良種選育中的應用提供了技術支撐。

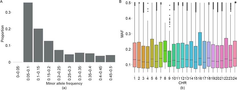
牙鲆“魚芯1號”基因芯片SNP位點的最小等位基因頻率(MAF)統計.(a)不同MAF比例;(b)MAF在24條染色體(CHR)上的分布
黃海水產研究所周茜副研究員、陳亞東助理研究員為該論文共同第一作者,陳松林研究員為該論文的通訊作者。該研究獲得了國家自然科學基金國際(地區)合作項目、中國水產科學研究院基本科研業務費項目、山東省自然科學基金重點項目、鰲山人才培養計劃和泰山學者攀登計劃等項目的資助。
全文鏈接:“Development of a 50K SNP array for Japanese flounder and its application in genomic selection for disease resistance”
https://doi.org/10.1016/j.eng.2020.06.017